Упр.3.15 ГДЗ Мордковича 10 класс профильный уровень (Алгебра)
Решение #1
Решение #2(записки учителя)
Решение #3(записки школьника)

Рассмотрим вариант решения задания из учебника Мордкович, Семенов 10 класс, Мнемозина:
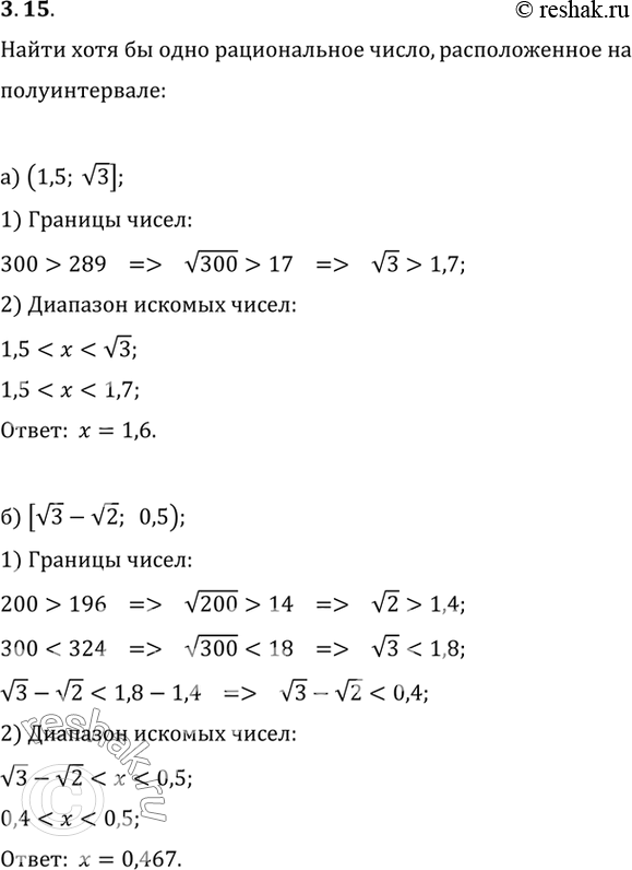
Найдите хотя бы одно рациональное число, расположен ное на полуинтервале:
а) (1,5; корень из3]; б) [корень из3 - корень из2; 0,5).
*размещая тексты в комментариях ниже, вы автоматически соглашаетесь с пользовательским соглашением