Упр.13.1 ГДЗ Мордковича 10 класс профильный уровень (Алгебра)
Решение #1
Решение #2(записки учителя)
Решение #3(записки школьника)
Решение #4

Рассмотрим вариант решения задания из учебника Мордкович, Семенов 10 класс, Мнемозина:
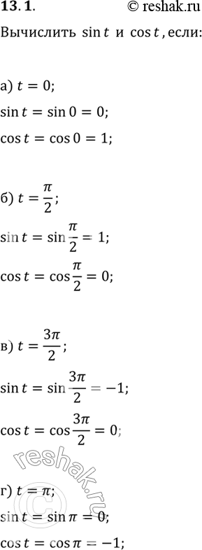
Вычислите sin t и cos t, если:
a) t = 0; б) t = Пи/2; в) t=3Пи/2
г) t = Пи.
*размещая тексты в комментариях ниже, вы автоматически соглашаетесь с пользовательским соглашением