Упр.29.13 ГДЗ Мордкович 7 класс (Алгебра)
Решение #1

Рассмотрим вариант решения задания из учебника Мордкович, Александрова 7 класс, Мнемозина:
Приведите многочлен к стандартному виду и найдите его значение:
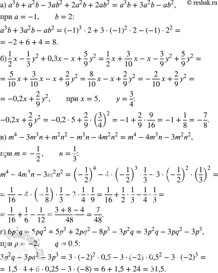
а) а3b + а2b - 3ab2 + 2а2b + 2аb2 при а = -1, b = 2;
б) 1x/2 - 1y2/3 + 0,3x - x + 5y2/9 при x = 5, у = 3/4;
в) m4 - 3m3n + m2n2 - m3n - 4m2n2 при m = -1/2, n = 1/3;
г) 6p2q - 5pq2 + 5р3 + 2pq2 - 8р3 - 3p2q при р = -2, q = 0,5.
*размещая тексты в комментариях ниже, вы автоматически соглашаетесь с пользовательским соглашением