Упр.99 ГДЗ Колягин Ткачёва 10 класс (Алгебра)
Решение #1
Решение #2

Рассмотрим вариант решения задания из учебника Колягин, Ткачёва, Фёдорова 10 класс, Просвещение:
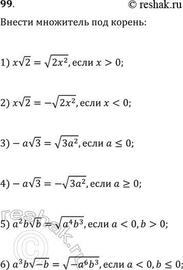
Внести множитель под знак корня:
1) x корень 2, если x > 0;
2) x корень 2, если x < 0;
3)-a корень 3, если a <= 0;
4)-а корень З, если a >= 0;
5) a2b корень b, если a < 0, b > 0;
6) a3b корень b, если a < 0, b <= 0.
*размещая тексты в комментариях ниже, вы автоматически соглашаетесь с пользовательским соглашением