Упр.91 ГДЗ Колягин Ткачёва 8 класс (Алгебра)
Решение #1

Рассмотрим вариант решения задания из учебника Колягин, Ткачёва, Фёдорова 8 класс, Просвещение:
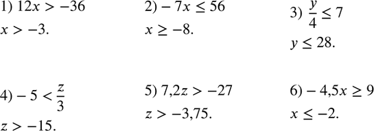
91. Решить неравенство:
1) 12x>-36;
2)-7x?56;
3) y/4?7;
4)-5
5) 7,2z>-27;
6)-4,5x?9.
*размещая тексты в комментариях ниже, вы автоматически соглашаетесь с пользовательским соглашением