Упр.9.53 ГДЗ Мерзляк 10 класс Базовый уровень (Алгебра)
Решение #1

Рассмотрим вариант решения задания из учебника Мерзляк, Номировский, Полонский 10 класс, Вентана-Граф:
9.53. Сравните числа:
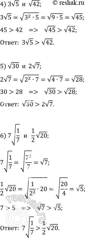
1) v(1/3) и v(1/5); 3) v33 и 6; 5) v30 и 2v7;
2) v32 и v26; 4) 3v5 и v42; 6) 7v(1/7) и (1/2)v20.
*размещая тексты в комментариях ниже, вы автоматически соглашаетесь с пользовательским соглашением