Упр.876 ГДЗ Колягин Ткачёва 11 класс (Алгебра)
Решение #1
Решение #2

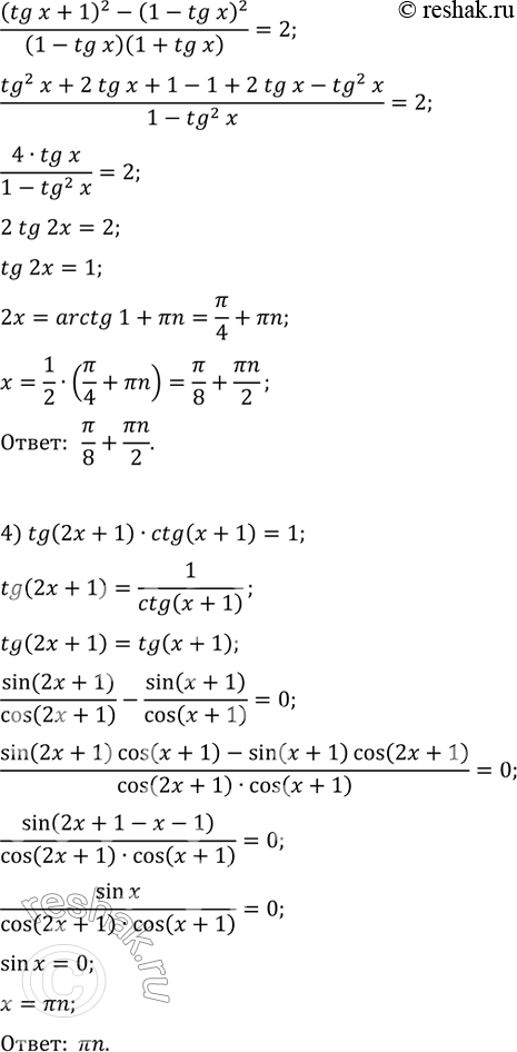
Рассмотрим вариант решения задания из учебника Колягин, Ткачёва, Фёдорова 11 класс, Просвещение:
876. 1) tg2x = 3tgx;
2) ctg2x = 2ctgx;
3) tg(x+ пи/4) + tg(x- пи/4)= 2;
4) tg(2x+1) ctg(x+1) =1.
*размещая тексты в комментариях ниже, вы автоматически соглашаетесь с пользовательским соглашением