Упр.870 ГДЗ Колягин Ткачёва 10 класс (Алгебра)
Решение #1
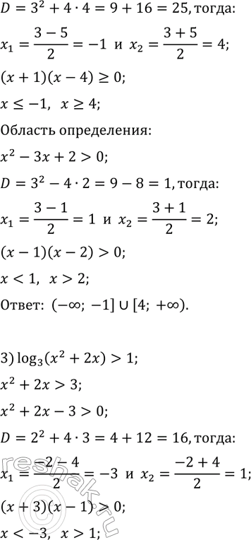
Решение #2

Рассмотрим вариант решения задания из учебника Колягин, Ткачёва, Фёдорова 10 класс, Просвещение:
870.
1) логарифм (x^2-4x+3) по основанию 8 < 1
2) логарифм (x^2-3x+2) по основанию 6 >= 1
3) логарифм (x^2+2x) по основанию 3 > 1
4) логарифм (x^2-2.5x) по основанию 2/3 < -1
*размещая тексты в комментариях ниже, вы автоматически соглашаетесь с пользовательским соглашением