Упр.87 ГДЗ Колягин Ткачёва 11 класс (Алгебра)
Решение #1
Решение #2

Рассмотрим вариант решения задания из учебника Колягин, Ткачёва, Фёдорова 11 класс, Просвещение:
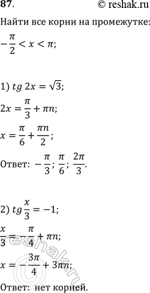
87 Найти все принадлежащие промежутку (-пи/2;пи) корни уравнения:
1) tg2x = корень 3;
2) tgx/3=-1;
3) ctgx/2 = -1/корень 3;
4) ctg3x=1.
*размещая тексты в комментариях ниже, вы автоматически соглашаетесь с пользовательским соглашением