Упр.863 ГДЗ Колягин Ткачёва 10 класс (Алгебра)
Решение #1
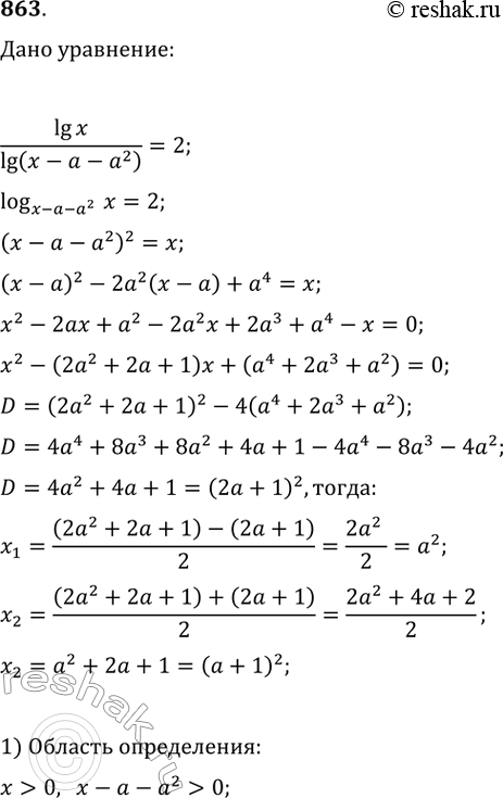
Решение #2

Рассмотрим вариант решения задания из учебника Колягин, Ткачёва, Фёдорова 10 класс, Просвещение:
863. При каких значениях а уравнение (десятичный логарифм х)/(десятичный логарифм х-а-а^2)=2 имеет хотя бы один корень? Найти все корни этого уравнения.
*размещая тексты в комментариях ниже, вы автоматически соглашаетесь с пользовательским соглашением