Упр.858 ГДЗ Колягин Ткачёва 11 класс (Алгебра)
Решение #1
Решение #2

Рассмотрим вариант решения задания из учебника Колягин, Ткачёва, Фёдорова 11 класс, Просвещение:
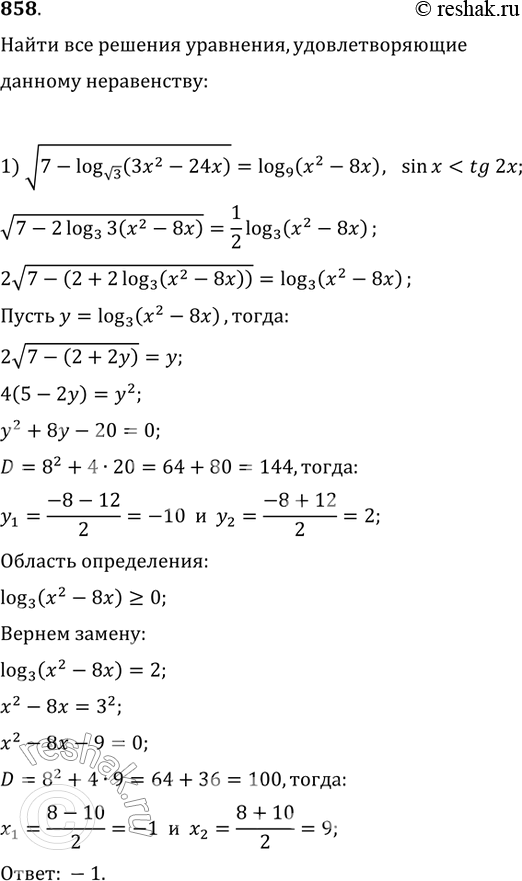
858. Найти все решения уравнения, удовлетворяющие данному неравенству:
1) корень 7-log корень 3 (3x2-24x) = log9(x2-8x), sin
2) корень log1/6(x2+1/6x) * log36x2+6x 6 =1, sinx > tg6x.
*размещая тексты в комментариях ниже, вы автоматически соглашаетесь с пользовательским соглашением