Упр.855 ГДЗ Никольский Потапов 7 класс (Алгебра)
Решение #1

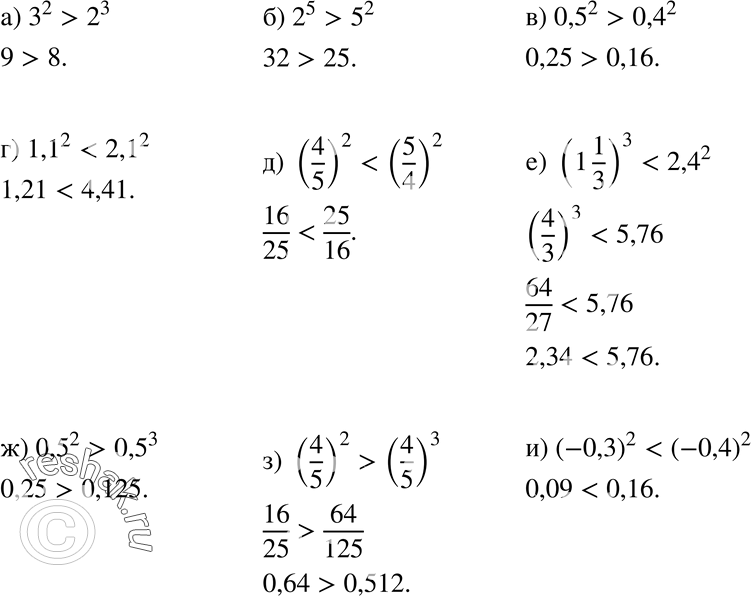
Рассмотрим вариант решения задания из учебника Никольский, Потапов 7 класс, Просвещение:
Сравните (855—856):
855 а) 3^2 и 2^3;
б) 2^5 и 5^2;
в) 0,5^2 и 0,4^2;
г) 1,1^2 и 2,1^2;
д) (4/5)2 и (5/4)2;
е) (1*1/3)3 и 2,4^2;
ж) 0,5^2 и 0,5^3;
з) (4/5)2 и (4/5)3;
и) (-0,3)2 и (-0,4)2.
*размещая тексты в комментариях ниже, вы автоматически соглашаетесь с пользовательским соглашением