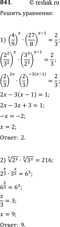
Упр.841 ГДЗ Колягин Ткачёва 11 класс (Алгебра)
Решение #1
Решение #2

Рассмотрим вариант решения задания из учебника Колягин, Ткачёва, Фёдорова 11 класс, Просвещение:
841 1) (4/9)x * (27/8)x-1 = 2/3;
2) корень 3 степени 2x * корень 3 степени 3x = 216.
*размещая тексты в комментариях ниже, вы автоматически соглашаетесь с пользовательским соглашением