Упр.827 ГДЗ Колягин Ткачёва 11 класс (Алгебра)
Решение #1
Решение #2

Рассмотрим вариант решения задания из учебника Колягин, Ткачёва, Фёдорова 11 класс, Просвещение:
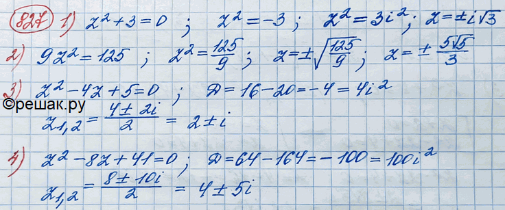
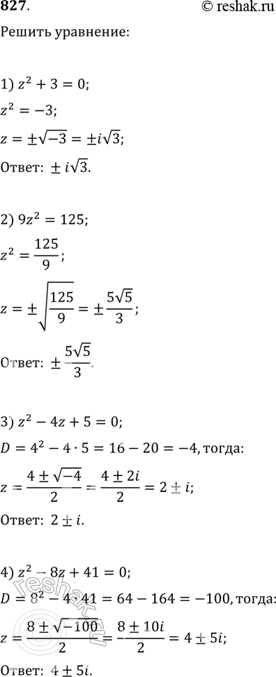
827. 1) z2 + 3 = 0;
2) 9z2 = 125;
3) z2-4z + 5 = 0;
4) z2 - 8z + 41 = 0.
*размещая тексты в комментариях ниже, вы автоматически соглашаетесь с пользовательским соглашением