Упр.812 ГДЗ Макарычев Миндюк 9 класс (Углубленный) (Алгебра)
Решение #1

Рассмотрим вариант решения задания из учебника Макарычев, Миндюк, Нешков 9 класс, Просвещение:
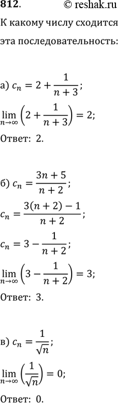
812. К какому числу сходится последовательность, если:
а) c_n=2+1/(n+3); б) c_n=(3n+5)/(n+2); в) c_n=1/vn?
*размещая тексты в комментариях ниже, вы автоматически соглашаетесь с пользовательским соглашением