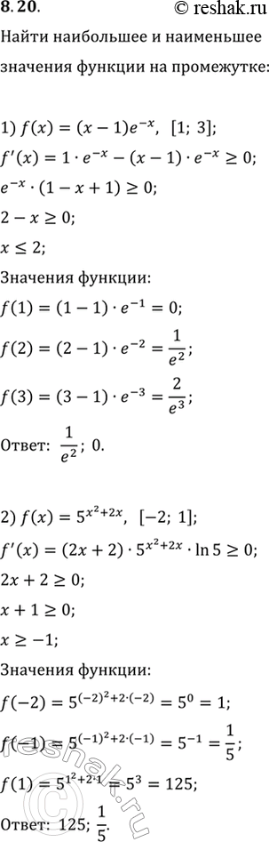
Упр.8.20 ГДЗ Мерзляк 11 класс Углубленный уровень (Алгебра)
Решение #1

Рассмотрим вариант решения задания из учебника Мерзляк, Номировский, Поляков 11 класс, Вентана-Граф, Просвещение:
8.20. Найдите наибольшее и наименьшее значения функции:
1) f(x)=(x-1)e^(-x) на промежутке [1; 3];
2) f(x)=5^(x^2+2x) на промежутке [-2; 1].
*размещая тексты в комментариях ниже, вы автоматически соглашаетесь с пользовательским соглашением