Упр.8.16 ГДЗ Мерзляк 10 класс Базовый уровень (Алгебра)
Решение #1

Рассмотрим вариант решения задания из учебника Мерзляк, Номировский, Полонский 10 класс, Вентана-Граф:
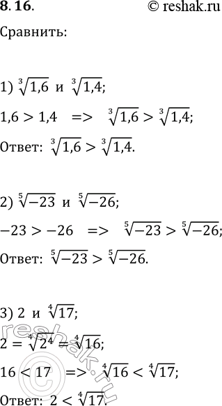
8.16. Сравните:
1) 1,6^(1/3) и 1,4^(1/3); 2) (-23)^(1/5) и (-26)^(1/5); 3) 2 и 17^(1/4).
*размещая тексты в комментариях ниже, вы автоматически соглашаетесь с пользовательским соглашением