Упр.8.15 ГДЗ Мерзляк 11 класс Углубленный уровень (Алгебра)
Решение #1

Рассмотрим вариант решения задания из учебника Мерзляк, Номировский, Поляков 11 класс, Вентана-Граф, Просвещение:
8.15. Составьте уравнение касательной к графику функции:
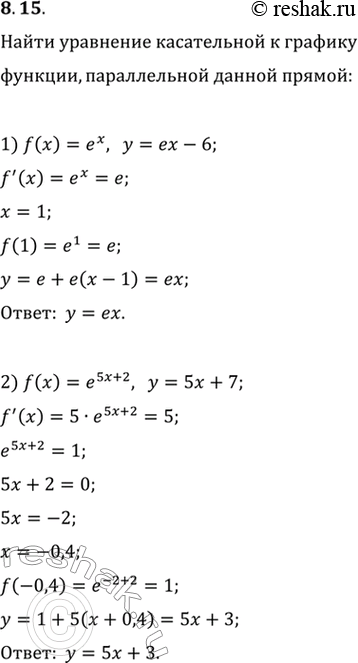
1) f(x)=e^x, если эта касательная параллельна прямой y=ex-6;
2) f(x)=e^(5x+2), если эта касательная параллельна прямой y=5x+7;
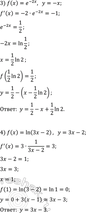
3) f(x)=e^(-2x), если эта касательная параллельна прямой y=-x;
4) f(x)=ln (3x-2), если эта касательная параллельна прямой y=3x-2.
*размещая тексты в комментариях ниже, вы автоматически соглашаетесь с пользовательским соглашением