Упр.8.1 ГДЗ Мерзляк 11 класс Углубленный уровень (Алгебра)
Решение #1

Рассмотрим вариант решения задания из учебника Мерзляк, Номировский, Поляков 11 класс, Вентана-Граф, Просвещение:
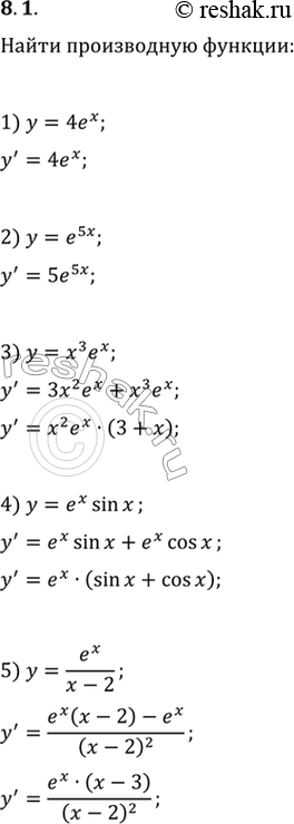
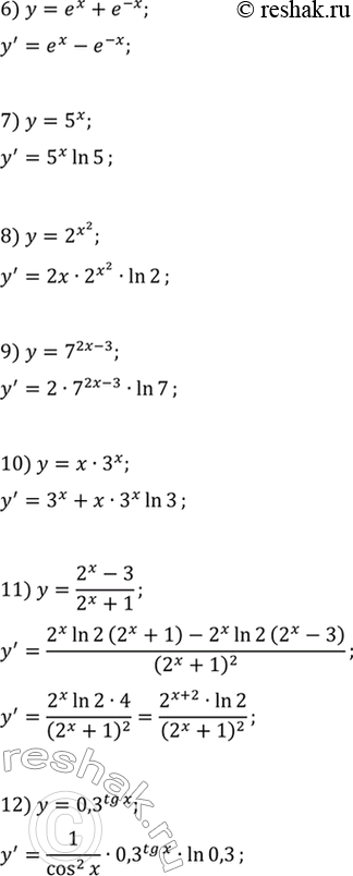
8.1. Найдите производную функции:
1) y=4e^x; 4) y=e^x sin(x); 7) y=5^x; 10) y=x·3^x;
2) y=e^(5x); 5) y=e^x/(x-2); 8) y=2^x^2; 11) y=(2^x-3)/(2^x+1);
3) y=x^3 e^x; 6) y=e^x+e^(-x); 9) y=7^(2x-3); 12) y=0,3^tg(x).
*размещая тексты в комментариях ниже, вы автоматически соглашаетесь с пользовательским соглашением