Упр.8 ГДЗ Колягин Ткачёва 10 класс (Алгебра)
Решение #1
Решение #2

Рассмотрим вариант решения задания из учебника Колягин, Ткачёва, Фёдорова 10 класс, Просвещение:
Возвести в степень, пользуясь формулами сокращённого умножения:
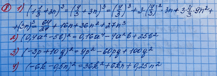
1) (1*1/3 + 3n)2;
2) (0,4a2 - 5b)2;
3) (-3p+10q)2;
4) (-6k-0,5n)2;
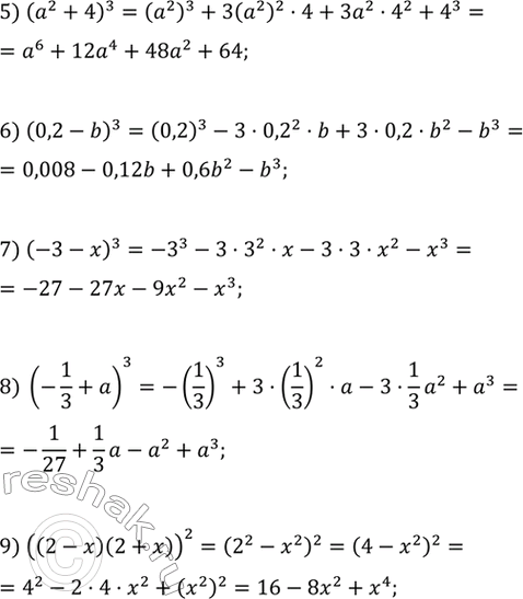
5) (a2 + 4)3;
6) (0,2 - b)3;
7) (-3-x)3;
8) (-1/2 + a)3;
9) ((-2-x)(2+x))2.
*размещая тексты в комментариях ниже, вы автоматически соглашаетесь с пользовательским соглашением