Упр.798 ГДЗ Никольский Потапов 7 класс (Алгебра)
Решение #1

Рассмотрим вариант решения задания из учебника Никольский, Потапов 7 класс, Просвещение:
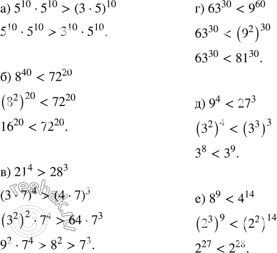
798. Сравните значения числовых выражений:
а) 5^10 * 5^10 и (3 * 5)10;
б) 8^40 и 72^20;
в) 21^4 и 28^3;
г) 63^30 и 9^60;
д) 9^4 и 27^3;
е) 8^9 и 4^14.
*размещая тексты в комментариях ниже, вы автоматически соглашаетесь с пользовательским соглашением