Упр.798 ГДЗ Колягин Ткачёва 11 класс (Алгебра)
Решение #1
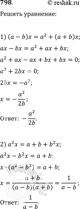
Решение #2

Рассмотрим вариант решения задания из учебника Колягин, Ткачёва, Фёдорова 11 класс, Просвещение:
798 1) (a-b)x = a2 + (a+b)x;
2) a2x = a+b+b2x.
*размещая тексты в комментариях ниже, вы автоматически соглашаетесь с пользовательским соглашением