Упр.784 ГДЗ Колягин Ткачёва 11 класс (Алгебра)
Решение #1
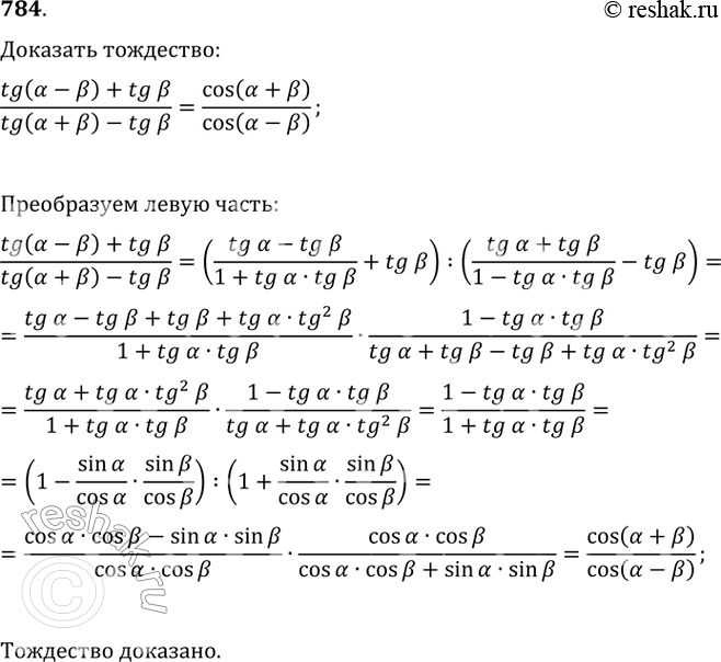
Решение #2

Рассмотрим вариант решения задания из учебника Колягин, Ткачёва, Фёдорова 11 класс, Просвещение:
Доказать тождество (784—790).
784 tg(a- бета) + tg бета/ tg(a+ бета) - tg бета = cos (a+ бета)/ cos (a- бета).
*размещая тексты в комментариях ниже, вы автоматически соглашаетесь с пользовательским соглашением