Упр.761 ГДЗ Макарычев Миндюк 9 класс (Углубленный) (Алгебра)
Решение #1

Рассмотрим вариант решения задания из учебника Макарычев, Миндюк, Нешков 9 класс, Просвещение:
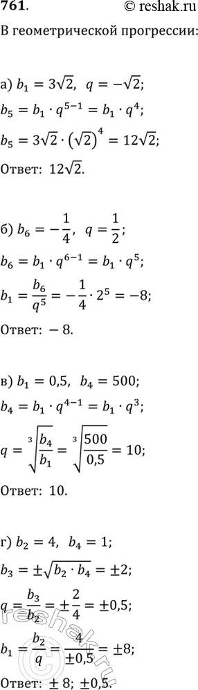
761. В геометрической прогрессии (b_n) найдите:
а) b_5, если b_1=3v2, q=-v2; в) q, если b_1=0,5, b_4=500;
б) b_1, если b_6=-1/4, q=1/2; г) b_1 и q, если b_2=4, b_4=1.
*размещая тексты в комментариях ниже, вы автоматически соглашаетесь с пользовательским соглашением