Упр.760 ГДЗ Макарычев Миндюк 9 класс (Углубленный) (Алгебра)
Решение #1

Рассмотрим вариант решения задания из учебника Макарычев, Миндюк, Нешков 9 класс, Просвещение:
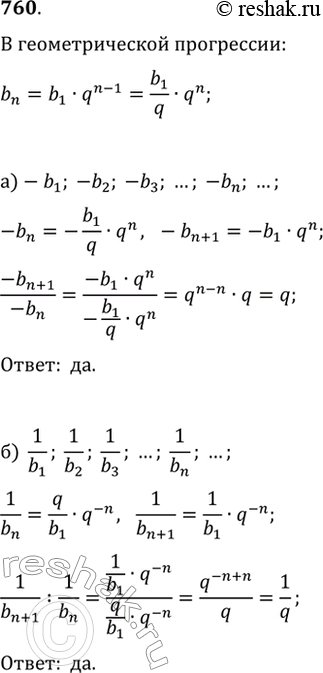
760. Последовательность (b_n) — геометрическая прогрессия. Является ли геометрической прогрессией последовательность:
а) -b_1, -b_2, -b_3, ..., -b_n, ...; г) b_1^2, b_2^2, b_3^2, ..., b_n^2, ...;
б) 1/b_1, 1/b_2, 1/b_3, ..., 1/b_n, ...; д) b_1, b_3, b_5, ..., b_(2n-1), ...?
в) 7b_1, 7b_2, 7b_3, ..., 7b_n, ...;
*размещая тексты в комментариях ниже, вы автоматически соглашаетесь с пользовательским соглашением