Упр.741 ГДЗ Колягин Ткачёва 10 класс (Алгебра)
Решение #1
Решение #2

Рассмотрим вариант решения задания из учебника Колягин, Ткачёва, Фёдорова 10 класс, Просвещение:
741.
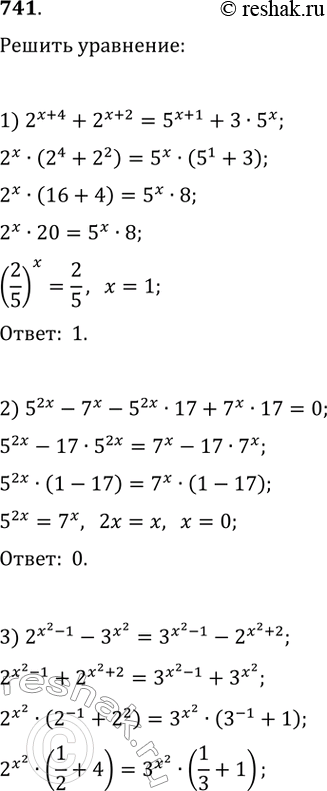
1) 2^(x+4)+2^(x+2)=5^(x+1)+3*5^x
2) 5^2x-7^x-5^2x*17+7^x*17=0
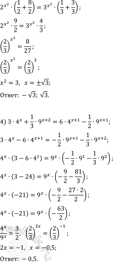
3) 2^(x^2-1)-3(x^2)=3^(x^2-1)-2^(x^2+2)
4) 3*4^x +1/3*9^(x+2)=6*4^(x+1)-1/2*9^(x+1)
*размещая тексты в комментариях ниже, вы автоматически соглашаетесь с пользовательским соглашением