Упр.739 ГДЗ Колягин Ткачёва 10 класс (Алгебра)
Решение #1
Решение #2

Рассмотрим вариант решения задания из учебника Колягин, Ткачёва, Фёдорова 10 класс, Просвещение:
Решить уравнение (739—741).
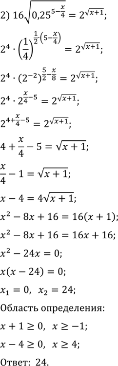
739.
1) 0,6^x*(25/9)^(x^2-12) = (27/125)^3
2) 168v(0.25^(5-x/4))=2^(v(x+1))
*размещая тексты в комментариях ниже, вы автоматически соглашаетесь с пользовательским соглашением