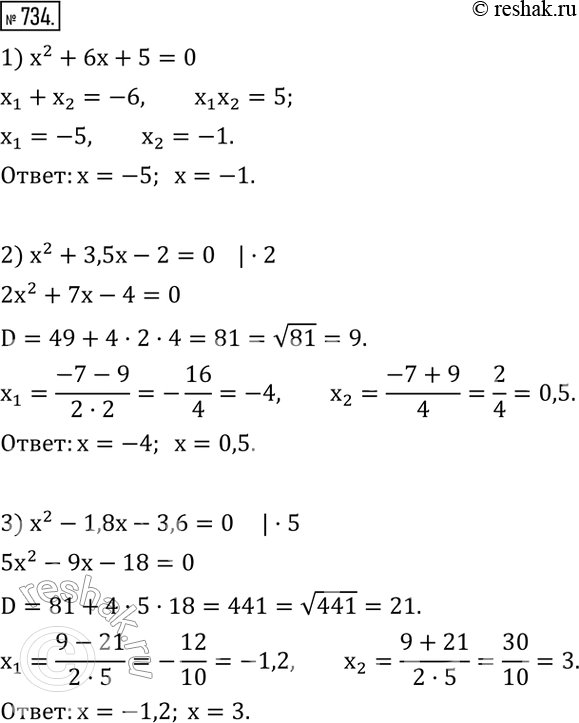
Упр.734 ГДЗ Колягин Ткачёва 8 класс (Алгебра)
Решение #1

Рассмотрим вариант решения задания из учебника Колягин, Ткачёва, Фёдорова 8 класс, Просвещение:
734. Решить уравнение:
1) x^2+6x+5=0;
2) x^2+3,5x-2=0;
3) x^2-1,8x-3,6=0;
4) 2x^2+3x-2=0;
5) 4x^2-x-14=0;
6) x^2-x+3,5=0.
*размещая тексты в комментариях ниже, вы автоматически соглашаетесь с пользовательским соглашением