Упр.73 ГДЗ Никольский Потапов 7 класс (Алгебра)
Решение #1

Рассмотрим вариант решения задания из учебника Никольский, Потапов 7 класс, Просвещение:
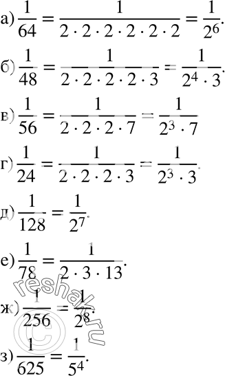
73 Какие простые делители содержит знаменатель дроби:
а) 1/64;
б) 1/48;
в) 1/56;
г) 1/24;
д) 1/128;
е) 1/78;
ж) 1/256;
з) 1/625?
*размещая тексты в комментариях ниже, вы автоматически соглашаетесь с пользовательским соглашением