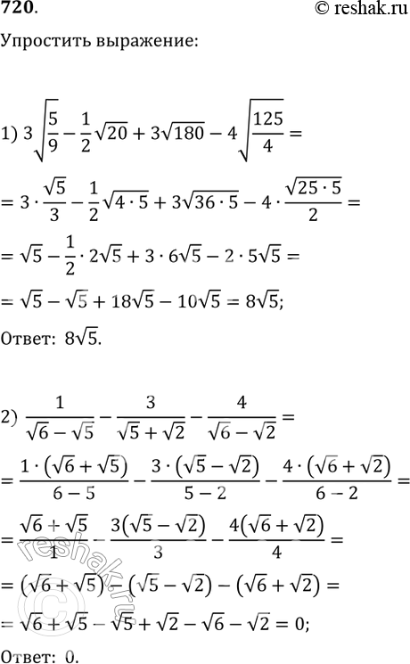
Упр.720 ГДЗ Колягин Ткачёва 11 класс (Алгебра)
Решение #1
Решение #2

Рассмотрим вариант решения задания из учебника Колягин, Ткачёва, Фёдорова 11 класс, Просвещение:
Упростить (720—721).
720 1) 3 корень 5/9 - 1/2* корень 20 + 3 корень 180 - 4 корень 125/4;
2) 1/ корень 6 - корень 5 - 3/корень 5+ корень 2 - 4/корень 6 - корень 2.
*размещая тексты в комментариях ниже, вы автоматически соглашаетесь с пользовательским соглашением