Упр.707 ГДЗ Колягин Ткачёва 10 класс (Алгебра)
Решение #1
Решение #2

Рассмотрим вариант решения задания из учебника Колягин, Ткачёва, Фёдорова 10 класс, Просвещение:
707.
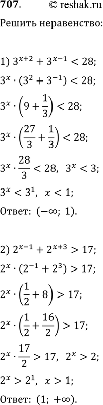
1) 3^(x+2)+3^(x-1)<28
2) 2^(x-1)+2^(x+3)>17
3) 2^(2x-1)+2^(2x-2)+2^(2x-3)>=448
4) 5^(3x+1)-5^(3x-3)<=624
*размещая тексты в комментариях ниже, вы автоматически соглашаетесь с пользовательским соглашением