Упр.7.4 ГДЗ Мерзляк 11 класс Углубленный уровень (Алгебра)
Решение #1

Рассмотрим вариант решения задания из учебника Мерзляк, Номировский, Поляков 11 класс, Вентана-Граф, Просвещение:
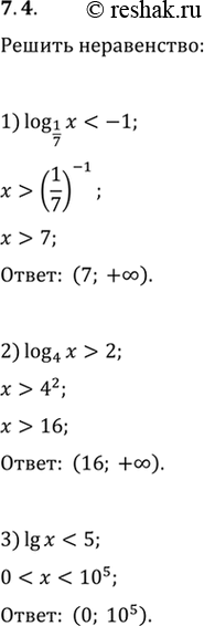
7.4. Решите неравенство:
1) log_(1/7) x<-1; 3) lg x<5; 5) log_(1/3) (2x-3)>-2;
2) log_4 x>2; 4) log_(1/6) x>-3; 6) log_9 (5x+6)<2.
*размещая тексты в комментариях ниже, вы автоматически соглашаетесь с пользовательским соглашением