Упр.7.20 ГДЗ Мерзляк 10 класс Базовый уровень (Алгебра)
Решение #1

Рассмотрим вариант решения задания из учебника Мерзляк, Номировский, Полонский 10 класс, Вентана-Граф:
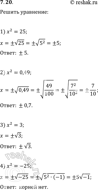
7.20. Решите уравнение:
1) x^2=25; 2) x^2=0,49; 3) x^2=3; 4) x^2=-25.
*размещая тексты в комментариях ниже, вы автоматически соглашаетесь с пользовательским соглашением