Упр.7.2 ГДЗ Мерзляк 11 класс Углубленный уровень (Алгебра)
Решение #1

Рассмотрим вариант решения задания из учебника Мерзляк, Номировский, Поляков 11 класс, Вентана-Граф, Просвещение:
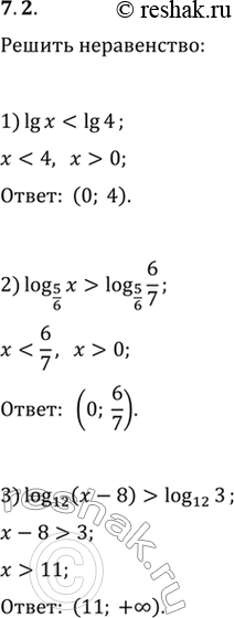
7.2. Решите неравенство:
1) lg x
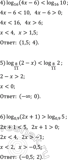
2) log_(5/6) x>log_(5/6) (6/7); 5) log_(8/11) (2-x)
3) log_12 (x-8)>log_12 3; 6) log_0,9 (2x+1)>log_0,9 5.
*размещая тексты в комментариях ниже, вы автоматически соглашаетесь с пользовательским соглашением