Упр.7.16 ГДЗ Мордкович Семенов 8 класс (Алгебра)
Решение #1

Рассмотрим вариант решения задания из учебника Мордкович, Семенов, Александрова 8 класс, Бином:
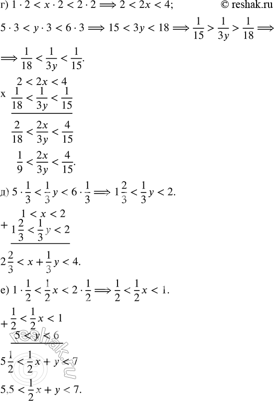
7.16. Известно, что 1 < х < 2 и 5 < у < 6. Оцените значение выражения:
а) xy; в) 1/6 xy; д) x + 1/3 y;
б) x/y; г) 2x/3y; е) 1/2 x + y.
*размещая тексты в комментариях ниже, вы автоматически соглашаетесь с пользовательским соглашением