Упр.7.12 ГДЗ Мордкович Семенов 8 класс (Алгебра)
Решение #1

Рассмотрим вариант решения задания из учебника Мордкович, Семенов, Александрова 8 класс, Бином:
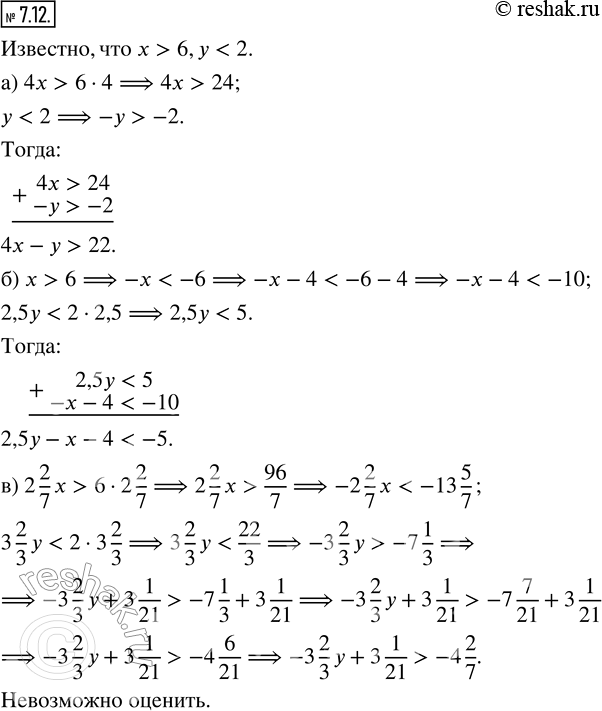
7.12. Известно, что х > 6, у < 2. Оцените значение выражения:
а) 4x - y; г) 3x - 5y;
б) 2,5y - x - 4; д) -3x + 4y + 5;
в) -2 2/7 x - 3 2/3 y + 3 1/21; е) -x - 2y - 1.
*размещая тексты в комментариях ниже, вы автоматически соглашаетесь с пользовательским соглашением