Упр.7.10 ГДЗ Мерзляк 11 класс Углубленный уровень (Алгебра)
Решение #1

Рассмотрим вариант решения задания из учебника Мерзляк, Номировский, Поляков 11 класс, Вентана-Граф, Просвещение:
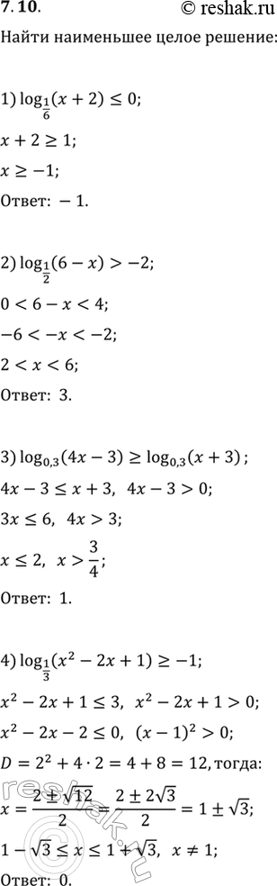
7.10. Найдите наименьшее целое решение неравенства:
1) log_(1/6) (x+2)<0; 3) log_0,3 (4x-3)>log_0,3 (x+3);
2) log_(1/2) (6-x)>-2; 4) log_(1/3) (x^2-2x+1)>-1.
*размещая тексты в комментариях ниже, вы автоматически соглашаетесь с пользовательским соглашением