Упр.695 ГДЗ Колягин Ткачёва 8 класс (Алгебра)
Решение #1

Рассмотрим вариант решения задания из учебника Колягин, Ткачёва, Фёдорова 8 класс, Просвещение:
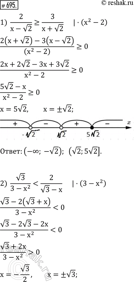
695. Решить неравенство:
1) 2/(x-v2)?3/(x+v2);
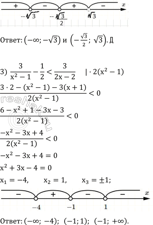
2) v3/(3-x^2 )<2/(v3-x);
3) 3/(x^2-1)-1/2<3/(2x-2).
*размещая тексты в комментариях ниже, вы автоматически соглашаетесь с пользовательским соглашением