Упр.695 ГДЗ Колягин Ткачёва 10 класс (Алгебра)
Решение #1
Решение #2

Рассмотрим вариант решения задания из учебника Колягин, Ткачёва, Фёдорова 10 класс, Просвещение:
695.
1) 3^(2x+6)=2^(x+3)
2) 5^(x-2)=4^(2x-4)
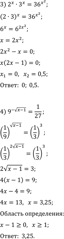
3) 2^x*3^x=36^(x^2)
4) 9^(-(v(x-1)))=1/27
*размещая тексты в комментариях ниже, вы автоматически соглашаетесь с пользовательским соглашением