Упр.694 ГДЗ Колягин Ткачёва 10 класс (Алгебра)
Решение #1
Решение #2

Рассмотрим вариант решения задания из учебника Колягин, Ткачёва, Фёдорова 10 класс, Просвещение:
694.
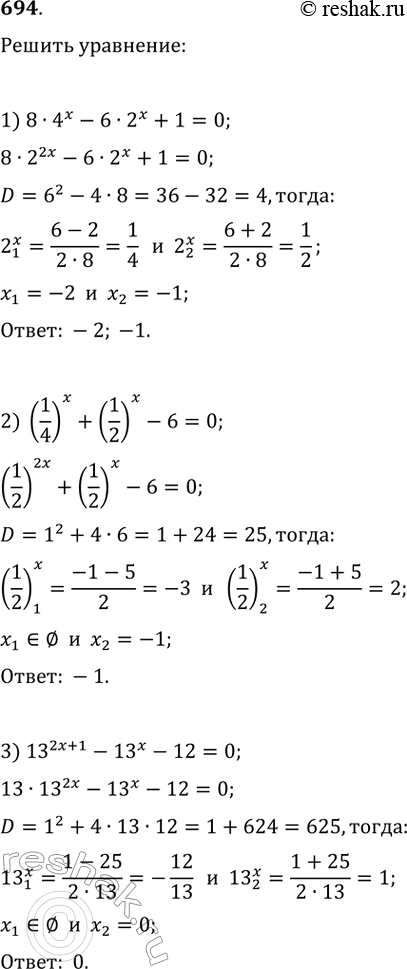
1) 8*4^x-6*2^x+1=0
2) (1/4)^x+(1/2)^x-6=0
3) 13^(2x+1)-13^x-12=0
4) 3^(2x+1)-10*3^x+3=0
5) 2^3x+8*2^x-6*2^2x=0
6) 5^(3x+1)+34*5^2x-7*5^x=0
*размещая тексты в комментариях ниже, вы автоматически соглашаетесь с пользовательским соглашением