Упр.692 ГДЗ Никольский Потапов 7 класс (Алгебра)
Решение #1

Рассмотрим вариант решения задания из учебника Никольский, Потапов 7 класс, Просвещение:
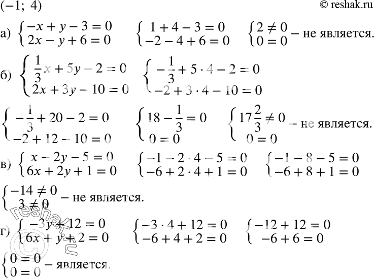
692. Является ли пара чисел (-1; 4) решением системы:
а) система
-x+y-3=0,
2x-y+6=0;
б) система
1/3*x+5y-2=0,
2x+3y-10=0;
в) система
x-2y-5=0,
6x+2y+1=0;
г) система
-3y+12=0,
6x+y+2=0?
*размещая тексты в комментариях ниже, вы автоматически соглашаетесь с пользовательским соглашением