Упр.690 ГДЗ Колягин Ткачёва 8 класс (Алгебра)
Решение #1

Рассмотрим вариант решения задания из учебника Колягин, Ткачёва, Фёдорова 8 класс, Просвещение:
690. Решить неравенство:
1) x^2-3x+8>0;
2) x^2-5x+10<0;
3) 2x^2-3x+5?0;
4) 3x^2-4x+5?0;
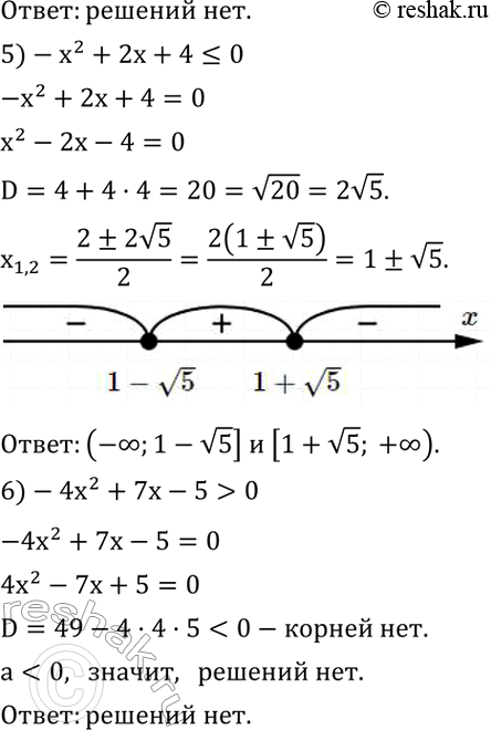
5)-x^2+2x+4?0;
6)-4x^2+7x-5>0.
*размещая тексты в комментариях ниже, вы автоматически соглашаетесь с пользовательским соглашением