Упр.688 ГДЗ Колягин Ткачёва 10 класс (Алгебра)
Решение #1
Решение #2

Рассмотрим вариант решения задания из учебника Колягин, Ткачёва, Фёдорова 10 класс, Просвещение:
688.
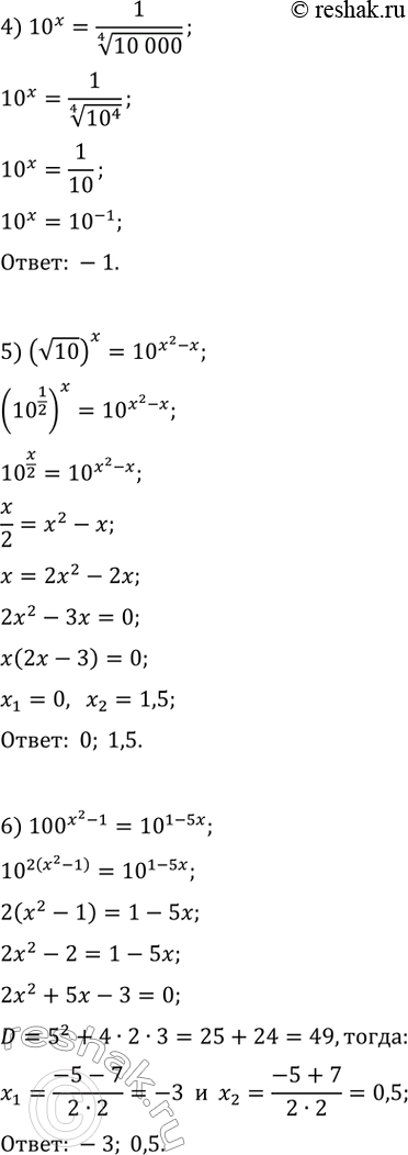
1) 10^x=корень третьей степени из 100
2) 10^x=корень пятой степени из 10000
3) 225^(2x^2-24) =15
4) 10^x=1/корень четвертой степени из 10000
5) (v10)^x=10^(x^2-x)
6) 100^(x^2-1)=10^(1-5x)
*размещая тексты в комментариях ниже, вы автоматически соглашаетесь с пользовательским соглашением