Упр.677 ГДЗ Никольский Потапов 7 класс (Алгебра)
Решение #1

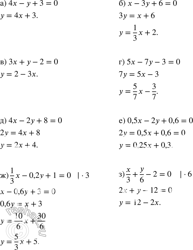
Рассмотрим вариант решения задания из учебника Никольский, Потапов 7 класс, Просвещение:
677. а) 4х-у + 3 = 0;
б) x - Зу + 6 = 0;
в) Зх + у - 2 = 0;
г) 5x - 7y - 3 = 0;
д) 4x - 2у + 8 = 0;
е) 0,5x -2у + 0,6 = 0;
ж) 1/3*х - 0,2у + 1 = 0;
з) x/3 + y/6 - 2 = 0.
*размещая тексты в комментариях ниже, вы автоматически соглашаетесь с пользовательским соглашением