Упр.657 ГДЗ Никольский Потапов 7 класс (Алгебра)
Решение #1

Рассмотрим вариант решения задания из учебника Никольский, Потапов 7 класс, Просвещение:
657. а) x - 2(x - 3(x - 4)) = 1;
б) 5x - 4(x - 3(x - 2)) = 2;
в) 3x - 2(x - 2(х - 3)) = 3;
г) 4x - 4(3x-3(2x-2)) = -24;
д) x — 2 (x - 3 (x - 4 (x - 5))) = 6;
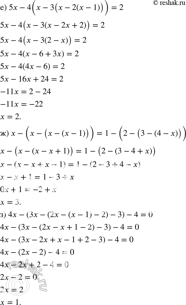
е) 5x - 4 (x - 3 (x - 2(x - 1))) = 2;
ж) x-(x-(x-(x- 1))) = 1 - (2 - (3 - (4 - x)));
з) 4x - (3x - (2x - (x - 1) - 2) - 3) - 4 = 0.
*размещая тексты в комментариях ниже, вы автоматически соглашаетесь с пользовательским соглашением