Упр.647 ГДЗ Колягин Ткачёва 10 класс (Алгебра)
Решение #1
Решение #2

Рассмотрим вариант решения задания из учебника Колягин, Ткачёва, Фёдорова 10 класс, Просвещение:
647. Найти область определения функции:
1) y=v(x^3-3x^2+2x)
2) y=v(3x+2x^2-x^3)
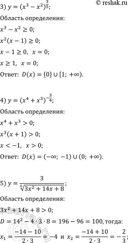
3) y=(x^3-x^2)^3/5)
4) y=(x^4+x^3)^-3/4
5) y=3/(корень шестой степени из(3x^2+14x+8))
6) y=1/(3v(x-v(x+2)))
*размещая тексты в комментариях ниже, вы автоматически соглашаетесь с пользовательским соглашением