Упр.639 ГДЗ Колягин Ткачёва 10 класс (Алгебра)
Решение #1
Решение #2

Рассмотрим вариант решения задания из учебника Колягин, Ткачёва, Фёдорова 10 класс, Просвещение:
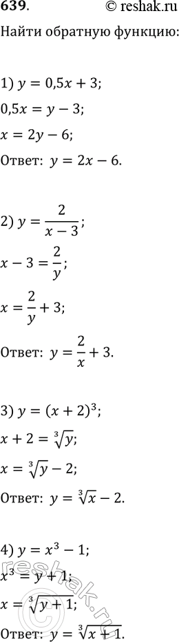
639. Найти функцию, обратную к функции:
1) y=0.5x+3
2) y=2/(x-3)
3) y=(x+2)^3
4) y=x^3-1
*размещая тексты в комментариях ниже, вы автоматически соглашаетесь с пользовательским соглашением