Упр.636 ГДЗ Колягин Ткачёва 11 класс (Алгебра)
Решение #1
Решение #2

Рассмотрим вариант решения задания из учебника Колягин, Ткачёва, Фёдорова 11 класс, Просвещение:
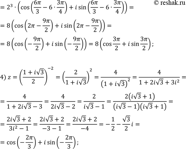
636 Записать в тригонометрической форме результат действий:
1) z=-1+i/2(cos пи/4 + isin пи/4);
2) z= -3(cos пи/6 + isin пи/6)(cos пи/12 - isin пи/12)4;
3) z=(корень 3i + 1/i-1)6;
4) z = (1+i корень 3/2)^-2.
*размещая тексты в комментариях ниже, вы автоматически соглашаетесь с пользовательским соглашением