Упр.623 ГДЗ Никольский Потапов 7 класс (Алгебра)
Решение #1

Рассмотрим вариант решения задания из учебника Никольский, Потапов 7 класс, Просвещение:
623 Сократите дробь:
а) (a3-b3)/(a4-b4);
б) (a3+b3)/(a2-ab+b2);
в) (a5-b5)/(a3-b3);
г) (a5+b5)/(a7+b7);
д) (a3+a2b+ab2+b3)/(a4-b4);
е) (a5+b5)/(a4-a3b+a3b3-ab3+b4);
ж) (a3-8)/(a4-16);
з) (a3+27)/(a2-3a+9);
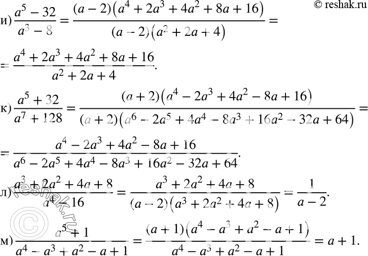
и) (a5-32)/(a3-8);
к) (a5+32)/(a7+128);
л) (a3+2a2+4a+8)/(a4-16);
м) (a5+1)/(a4-a3+a2-a+1).
*размещая тексты в комментариях ниже, вы автоматически соглашаетесь с пользовательским соглашением