Упр.622 ГДЗ Никольский Потапов 7 класс (Алгебра)

Решение #1

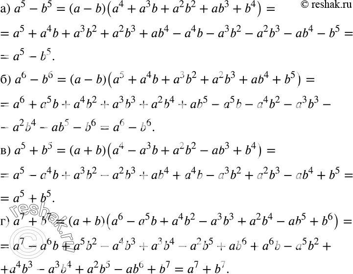
Изображение 622 Доказываем. Докажите формулу разложения на множители для:а) а5 - b5; б) а6 - b6; в) а5 + b5; г) а7 +...

Решение #2

Изображение 622 Доказываем. Докажите формулу разложения на множители для:а) а5 - b5; б) а6 - b6; в) а5 + b5; г) а7 +...
Дополнительное изображение
Загрузка...

Рассмотрим вариант решения задания из учебника Никольский, Потапов 7 класс, Просвещение:
622 Доказываем. Докажите формулу разложения на множители для:
а) а5 - b5;
б) а6 - b6;
в) а5 + b5;
г) а7 + b7.
*Цитирирование задания со ссылкой на учебник производится исключительно в учебных целях для лучшего понимания разбора решения задания.
*размещая тексты в комментариях ниже, вы автоматически соглашаетесь с пользовательским соглашением